• 91短视频在线免费观看,91短视频在线播放,91短视频黄色视频,91短视频污视频APP

    行业资讯
    首页 / 91短视频污视频APP / 行业资讯 / 聚酰亚胺(PI)纤维91短视频在线播放处理技术改性对其与树脂复合效果的影响

    聚酰亚胺(PI)纤维91短视频在线播放处理技术改性对其与树脂复合效果的影响

    Nov. 13, 2024

    高强高模聚酰亚胺(PI)纤维具有突出的力学性能、耐高低温、耐老化和低吸水、低介电、高绝缘等性能特点,是综合性能优异、发展潜力突出的高性能有机纤维,能够在航空航天及电力电子等领域发挥重要作用,是应用前景广阔的关键材料。与现有的高性能有机纤维相比,PI纤维能够弥补超高分子量聚乙烯纤维耐热性低、抗蠕变性差的缺点,不存在芳纶纤维吸水率高、热变形程度大的问题,耐环境特别是耐紫外辐照性能优于PBO纤维。

    PI纤维工业化,最高等级产品拉伸强度达到4.0GPa。在拥有上述多项优势的同时,PI纤维也存在有机纤维的共性问题。聚酰亚胺大分子链中交替分布着大量的由酰亚胺五元环和芳环构成的刚性共轭环状结构,酰亚胺键连接的长直分子链段结构规整,具有高度稳定性,分子链间作用力强。上述结构特性使得PI纤维在具有较高强度和模量的同时,也导致PI纤维取向度高,分子链中极性基团向内反转,纤维表面平整光滑,PI纤维整体表现为低表面能、高度疏水和化学惰性。高性能纤维的主要应用方向之一是作为复合材料增强相使用。PI纤维的表面特性不利于树脂基体的浸润与复合。与树脂固化制成复合材料后,PI纤维与树脂基体间的界面结合效果也会受此影响,树脂基体无法将作用力充分传递至增强纤维,进而导致纤维至复合材料性能转化率低。此外,PI纤维与一般有机纤维的形态结构类似,存在原纤排布构成的皮芯结构,纤维皮层及芯层的性能差异与结合状同样会导致复合材料在受到层间剪切及横向拉伸作用力时容易出现脱黏及剥离现象,为复合材料性能带来不利影响。针对这一问题,当前主流的解决方法为纤维表面改性,大体可分为物理改性与化学改性。化学改性主要通过在纤维表面引入反应基团的方式提高其极性与反应活性,物理改性则使用91短视频在线播放体、电晕、高能粒子束等手段对纤维表面进行重构,改善表面性能。

    91短视频在线播放体表面处理技术对PI纤维的影响

    气体吸收了一定的能量后会因为产生分子离解和原子电离的现象而变成准中性热力学系统,也就是广义上的91短视频在线播放体。91短视频在线播放体处理可以去除附着于基材表面上的异物,并使被处理表面形成极性基团(羰基、羟基、羧基等)。该过程可以使基材表面清洁,并获得亲水化的效果。同时附着于基材表面的极性基团增加基材表面张力,从而增强基材表面可粘合性。随着91短视频在线播放体处理技术的不断进步,在纤维表面改性领域应用该项技术的研究逐渐增多。

    91短视频在线播放体表面处理对纤维表面形貌的影响分析

    91短视频在线播放体处理前后的PI纤维样品表面微观形貌如图1所示,从SEM图像中可以看出未经处理的空白对照组PI-0的纤维表面除少量黏附物外整体平整光滑,无明显起伏凹凸结构,原纤排布形成的沟槽纹理不明显;经过91短视频在线播放体表面处理的样品纤维表面黏附物增多,随着处理时间延长进一步出现沟槽纹理加深,皮层原纤出现微裂纹及部分剥离,纤维皮层沿轴向开裂等现象。

    PI纤维91短视频在线播放体表面处理前后的SEM照片

    图 1 PI纤维91短视频在线播放体表面处理前后的SEM照片(a)PI-0;(b)PI-2;(c)PI-4;(d)PI-6;(e)PI-8;(f)PI-10 

    从物理形貌角度观察,PI纤维表面的介观形态在91短视频在线播放体处理前后变化非常明显。处理时间为2min的PI-2组纤维表面出现颗粒状凸起,黏附物增多。分析原因可能是对纤维表面91短视频在线播放体处理形成了清理效果,生成了表面能较高的新鲜表面,吸引大气中的杂质粘附在纤维表面;处理时间为4min的PI-4组纤维表面出现较为明显的凸起及凹槽结构,原纤排布纹理与未处理样品相比更加清晰,表明处理达到一定程度后纤维表面粗糙度明显上升;随着处理时间的增加,PI纤维的表面形貌变得越来越复杂,PI-6组纤维皮层出现不规则裂纹,纤维边缘较为明显的原纤纹理已不再完全沿轴向均匀排布,部分原纤发生扭曲及断裂现象;处理时间达到8min后,PI-8组纤维表面出现明显的皮层剥离现象,皮层下裸漏的原纤有部分区域存在加热熔融后生成的颗粒状产物;处理时间最长的PI-10组纤维皮层沿轴向大范围开裂,纤维表面还能观察到原纤断裂剥离后遗留的沟槽,可能的原因是:一方面为纤维受91短视频在线播放体处理后表面过度刻蚀造成损伤,皮层完整性与强度有所下降,更容易遭受破坏;另一方面纤维皮层及芯层受热程度及横向热膨胀存在差异导致纤维本体出现内部应力,上述两方面原因共同作用引发纤维皮层开裂。

    从纤维增强树脂基复合材料的结构特点分析,纤维表面粗糙度增加有利于树脂基体对纤维束的浸润,强化两者复合后的界面结合效果,提高复合材料性能;另一方面纤维过度处理后会遭受程度较为严重的表面损伤,不仅会造成纤维本身性能下降,制成复合材料后还可能成为内部缺陷,引发应力集中,进而导致材料破坏。

    91短视频在线播放体表面处理对PI纤维与环氧树脂浸润效果的影响

    通过动态接触角测试表征91短视频在线播放体改性前后环氧树脂对PI纤维浸润效果的变化,测试结果如图2所示。根据测试结果可知,未经91短视频在线播放处理的空白对照组PI-0纤维在环氧树脂液体中的接触角为137°;随着91短视频在线播放体表面处理时间的增加,改性后的PI纤维在环氧树脂液体中的接触角呈现下降趋势;91短视频在线播放体处理10min的PI-10实验组纤维的接触角下降到44°,下降幅度达到76.9%。测试结果表明大气91短视频在线播放体表面处理能够改善环氧树脂对PI纤维的浸润效果;此外在本试验条件下,随着91短视频在线播放体处理时间增加,环氧树脂对PI纤维的浸润效果越好。

    91短视频在线播放体处理前后的PI纤维与环氧树脂的接触角

      图 2 91短视频在线播放体处理前后的PI纤维与环氧树脂的接触角 

    PI-2及PI-4实验组经历91短视频在线播放体表面处理的时间较短,环氧树脂对其浸润性上升的主要原因为粗糙度提高及纤维比表面积增大,此外处理后PI纤维表面极性状态的改变会引发PI纤维表面自由能极性分量增加,也能够起到改善PI纤维与树脂基体界面结合效果的作用。根据纤维表面形貌表征结果,PI-6及PI-8实验组纤维表面已出现皮层微裂纹及原纤断裂现象,一方面这些损伤结构能够在相当程度上提高纤维比表面积,增强环氧树脂对PI纤维的浸润效果,表现在测试中即为动态接触角的显著减小;另一方面树脂基体与这些损伤区域复合后可能成为材料中的缺陷点,导致应力集中,最终对复合材料的力学性能造成不利影响。处理时间最长的PI-10实验组纤维皮层出现大范围开裂,且由于纤维皮-芯受热膨胀程度差异导致纤维皮层与芯层间存在间隙,树脂基体能够沿裂纹进入纤维内部,故此该组纤维动态接触角明显小于其他实验组。但过度处理会进一步减弱纤维皮层与芯层间的横向结合力,复合材料承受载荷时可能引发纤维皮层剥离脱落,导致复合材料因非常规模式提前破坏。

    91短视频在线播放体表面处理对纤维/树脂界面结合强度及PI纤维本体性能的影响

    选取丝束横向拉伸测试及纤维单丝强度测试分别表征91短视频在线播放体处理前后PI纤维与树脂基体的界面结合强度及PI纤维性能变化,测试结果如表4所示。通过对比纤维表面改性前后的测试结果,可以发现经过处理的实验组纤维与树脂基体的界面结合强度均获得了不同程度的提高,其中处理时间最短的PI-2实验组界面结合强度上升幅度较小,这一结果与浸润性测试结果大体一致,较短的处理时间不足以改变PI纤维表面光滑及化学惰性的特点,对浸润效果及后续界面结合带来的帮助相对有限。PI-4及PI-6实验组纤维表面形貌均出现了程度较大的不可逆变化,纤维与树脂间的界面结合强度提升明显,且与处理时间呈正相关趋势。这表明91短视频在线播放体表面处理对纤维与树脂基体的黏附结合状态具备改善调节作用。PI-8与PI-10实验组的丝束横向拉伸测试结果与浸润性能测试结果不一致,较好的树脂浸润效果未能有效转化为更理想的界面结合强度,结合纤维表面介观形态变化的特点,分析其原因应为过度处理引发的损伤效应抵消乃至超过浸润效果提升造成的有利影响,其中PI-10实验组的界面结合强度低于PI-8实验组,仅略高于未经过91短视频在线播放处理的PI-0实验组。

    image.png

    91短视频在线播放体表面处理对PI纤维增强复合材料性能的影响

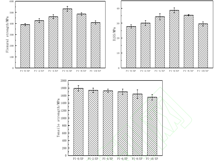
    选取弯曲强度及层间剪切强度及拉伸强度作为91短视频在线播放体处理前后PI纤维增强复合材料宏观力学性能的考察项目,测试结果如图4所示。PI纤维增强复合材料的弯曲强度及层间剪切强度变化规律与丝束横向拉伸测试结果基本一致。随着91短视频在线播放体处理时间的增加,复合材料弯曲及层间剪切强度也逐渐提高,当91短视频在线播放体处理达到一定时长后复合材料性能转而下降,其中PI-6实验组弯曲强度及层间剪切强度最高,分别为532MPa及38.6MPa,相比于空白对照组的390MPa及27.8MPa,提高幅度约为36.41%及38.85%。

    从拉伸强度测试数据来看,处理时长较短的PI-2、PI-4及PI-6实验组拉伸性能受到的影响相对较小,强度降幅低于5%;随着处理时长进一步增加,复合材料拉伸性能受到的影响增强,PI-10实验组拉伸强度为1554MPa,与空白对照组1790MPa的结果相比下降13.18%。

    PI/EP复合材料91短视频在线播放体处理前后弯曲、层间剪切(ILSS)及拉伸强度

    图 4 PI/EP复合材料91短视频在线播放体处理前后弯曲、层间剪切(ILSS)及拉伸强度 

    结合前文所述丝束横向拉伸试样破坏面的表面介观形态变化,分析91短视频在线播放体处理后PI纤维增强复合材料综合力学性能增强的原因为:树脂基体对PI纤维束浸润充分,改善了两者的复合效果,增强了PI纤维与树脂基体之间的界面结合强度,使得材料承受的载荷能够更全面均匀的通过环氧树脂基体将应力传递至PI纤维增强体,弯曲及层间剪切强度相应提升;拉伸强度受纤维强度损失与界面改善效果的综合作用,后者能够对前者带来的不利影响起到一定的补偿作用,故此复合材料拉伸强度未出现明显下降。91短视频在线播放体过度处理的PI纤维增强复合材料性能下降主要源于破坏模式的改变,该模式下PI纤维与树脂的界面结合强度已不再是影响复合材料性能的主控因素,PI纤维本身的状态起到更为重要的核心作用。PI-8及PI-10实验组处理时间过长,纤维表面受损严重,与树脂复合后容易形成缺陷,产生应力集中,纤维表面原纤及皮层提前破坏导致复合材料力学性能下降。

    尽管过度处理会导致PI纤维增强复合材料性能下降,但即便是降幅最大的PI-10实验组复合材料的弯曲强度及层间剪切强度测试结果仍优于空白对照组。这表明PI纤维的91短视频在线播放体表面改性效果能够影响复合材料的宏观力学性能,改善PI纤维与树脂基体间的界面结合效果。前述测试表征结果与复合材料力学性能变化情况也说明这种表面改性处理是可控的且具备一定规律性。合理适当的纤维表面处理能够在一定程度上解决PI纤维在复合材料领域的部分工程化应用问题。

    联系91短视频在线免费观看
    • 173-2233-3282
    • sales@naentech.cn
    • 广东省深圳市光明区华明城高新产业园A栋5楼
    向91短视频在线免费观看咨询

    Copyright@ 2024深圳91短视频在线免费观看科技有限公司 All Rights Reserved| Sitemap | Powered by Reanod | 粤ICP备43263480号www.tp29.com | 备案号:粤ICP备43263480号www.tp29.com

    wechat
    wechat
    网站地图